弊社が提供するフリーのマイクロアレイ発現解析用ソフトウェア(TAC:Applied Biosystems™Transcriptome Analysis Console)では、どなたでも簡単に弊社マイクロアレイのデータの解析ができます。
前回の「フリーのマイクロアレイ解析ソフトを使ってデータを取り込み、遺伝子発現解析をはじめよう!」ではTACを用いて遺伝子発現データを取り込んだところまでご説明しました。
今回は Webからダウンロードした次世代型発現解析マイクロアレイApplied Biosystems™ Clariom™ S のデータを用いて、実験に問題がなかったかどうかの確認作業、いわゆるQC (Quality Check) を行う方法をご紹介します。
▼もくじ
QCの結果を確認しよう
TACで解析を行い、結果が表示されると、デフォルトではQCの結果がまず表示される設定になっています。
もし別の場所をクリックしてしまった場合は、TACの左上にある「Sample QC View」をクリックしてください。
そうすると、左側に「Sample Table」というタブが表示されます。この「Sample Table」に、実験やデータに異常がないかを確認できるQCの結果が記載されています。
左側から、「CELファイルのファイル名」、「QC結果」「群名」の順で並んでいます。
この結果では、「QC結果」がすべてPassになっている、つまりすべてのCELファイルのQCで異常がなかったことを示しています。
QCのグラフデータを見てみよう
QC結果がすべて「Pass」と表示されていたら、ひとまずは安心です。
しかしどのように「Pass」とソフトウェアが判定したのか、ひとつずつグラフデータを見ていくことをお勧めします。
まず、デフォルトで表示されている「PCA」を見てみましょう。
PCA
PCA(主成分分析)は、QC項目として「Pass」「Out」がある訳ではありませんが、各データの主成分を分析することで、アウトライヤーとなるようなデータがないかを確認することができます。
PCAとは主成分分析の略です。つまり、このPCAでは「どのサンプルとどのサンプルが似ているのか」を見ています。サンプルの群が同じであれば近いところに位置するでしょうし、まったく違うサンプルの場合は遠く離れることが予想されます。
このPCAでは、各データの位置関係からアウトライヤーとなる可能性のあるデータを視覚的に確認することができます。
では次に、PCAの右隣のタブ「Lableing Controls」をクリックして見てみましょう。
![]()
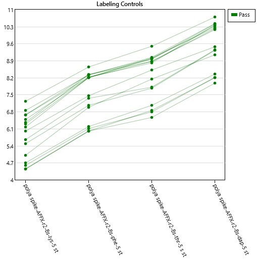
Labeling Controls
Labeling Controlsは、マイクロアレイ実験のサンプル調製の過程でサンプルが問題なくラベル化されたかを確認するQCです。下図のように、グラフが右肩上がりになっており、スポットがすべて緑色になっていれば、このQCは「Pass」となります。
このLabeling Controlsは、サンプル調製の最初のステップでサンプルのTotal RNAと混ぜるPoly (A) Spike Controlです。このコントロールが濃度に相関したシグナル(lys < phe < thr < dap )になっていれば、ラベル化が問題なく行われたことになります。
次は「Lableing Controls」の右隣のタブ「Hybridiation Controls」をクリックして見てみましょう。
![]()
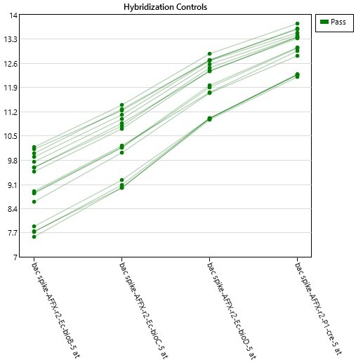
Hybridization Controls
Hybridization Controlsは、ハイブリダイゼーションが問題なく行われたかどうかを確認するQCです。下図のように、グラフが右肩上がりになっていて、スポットがすべて緑色になっていれば、このQCは「Pass」となります。
このHybridization Controlsは、サンプルをハイブリダイゼーションする時の溶液に混ぜるコントロールです。コントロールが濃度に相関したシグナル(bioB< bioC< bioD <cre )になっていれば、問題なくハイブリダイゼーションが行われたことになります。
今度は「Hybridization Controls」の右隣のタブ「Pos vs Neg AUC」をクリックして見てみましょう。
![]()
Pos_vs_Neg_AUC
Pos vs Neg AUCは、弊社で定義した100遺伝子のExonをポジコン、Intronをネガコンとし、これらのProbe setのシグナル値のROC曲線におけるAUC値を確認したものです。
つまり、ポジコンの蛍光強度が強く、ネガコンの蛍光強度が弱いことを確認するためのQCです。
この値が0.7以上であれば、Passとなります。
では最後に「Pos vs Neg AUC」の右隣のタブ「Signal Box Plot」をクリックして見てみましょう。
![]()
Signal Box Plot
Signal Box Plotには、QC項目として「Pass」「Out」はありませんが、正規化前のCELファイルと正規化後のCHPファイルのシグナル値分布を確認することで、アウトライヤーとなるようなデータがないかを確認することができます。
Signal Box Plotを開いたら、「CEL」と「CHP」の両方にチェックをつけてみてください。
CELファイルのみではアレイ間の差が若干見られますが、CHPファイルとして正規化したあとは、アレイ間の差が補正されて、ほぼすべてのアレイで似たようなシグナル分布になっているのがわかります。これは解析に用いたすべてのデータを用いてCELファイルが正規化されたことを示しています。

まとめ
このように、解析に用いるマイクロアレイデータに異常値が含まれているかどうかをTACで簡単に判定することができます。
詳細は省略しますが、QCがOutとなったときは、それぞれの数値データを見ることで、問題があった部分を特定することもできます。
次はいよいよ実際のデータを用いて遺伝子発現解析の結果です。「フリーのマイクロアレイ解析ソフトを使って発現解析してみよう!」を見てみましょう。
TACを用いたQC結果の確認(動画)
このブログの内容を動画でご覧いただけます。
マイクロアレイの手引き
DNAマイクロアレイは登場してからすでに20年が経ち、同じように網羅的な発現解析が出来る次世代シーケンサーの普及もあって、熟成した技術と言えます。しかしマイクロアレイは次世代シーケンサーに比べてコスト的なメリットがあり、また解析の容易さなどから、まだまだ強力な網羅的な遺伝子発現解析が出来る技術として、近年見直されて来ている技術でもあります。
この手引きはそのマイクロアレイの原理や基礎、ワークフローなどについて学べるページです。
研究用にのみ使用できます。診断用には使用いただけません。



