Search
Search
To facilitate the preparation of optimally labeled nucleic acids, we offer several modified nucleotides, as well as a wide selection of nucleic acid labeling kits that contain reactive versions of Molecular Probes fluorophores. Our available Invitrogen Molecular Probes technologies include:
- ChromaTide dUTP, ChromaTide OBEA-dCTP and ChromaTide UTP nucleotides, which provide researchers with a large selection of fluorophore- and hapten-labeled nucleotides that can be enzymatically incorporated into DNA or RNA probes for FISH (fluorescence in situ hybridization), DNA arrays/microarrays and other hybridization techniques.
- Unlabeled aminoallyl derivatives of dUTP and UTP, as well as unlabeled and labeled aminohexylacrylamide (aha) derivatives of dUTP and dCTP, that are easy to incorporate into nucleic acids for subsequent conjugation with any of our amine-reactive probes (Fluorophores and Their Amine-Reactive Derivatives—Chapter 1).
- ARES DNA Labeling Kits, which employ a versatile, two-step method for labeling DNA with fluorescent dyes to achieve a uniformity and consistency of labeling that is difficult to obtain with conventional enzymatic incorporation of labeled nucleotides.
- FISH Tag DNA and RNA Kits, which provide a complete workflow solution for creating labeled DNA and RNA probes for use in fluorescence in situ hybridization (FISH) applications.
- ULYSIS Nucleic Acid Labeling Kits, which employ a fast, simple and reliable chemical method for labeling nucleic acids without enzymatic incorporation of labeled nucleotides.
- Alexa Fluor Oligonucleotide Amine Labeling Kits, which use familiar chemical labeling of amine-terminated oligonucleotides to prepare the best singly labeled fluorescent oligonucleotide conjugates.
We offer a series of uridine triphosphates (UTP), deoxyuridine triphosphates (dUTP) and deoxycytidine triphosphates (OBEA-dCTP) conjugated to an extensive selection of fluorophores and haptens, including our intensely fluorescent Alexa Fluor dyes (Characteristics of Molecular Probes ChromaTide and aha labeled nucleotides—Table 8.5). These ChromaTide nucleotides are useful for generating labeled nucleic acids for molecular biology and molecular cytogenetics applications, including chromosome and mRNA fluorescence in situ hybridization (FISH) experiments
(
), gene expression and mutation detection on arrays and microarrays
(Figure 8.2.1), and in situ PCR and RT-PCR. Our diverse fluorescent labels provide the ideal tools for multicolor techniques such as spectral karyotyping,
multilocus FISH analysis,
chromosome painting
and comparative genome hybridization.![]()
Figure 8.2.1 A microarray hybridized to Alexa Fluor 546 dye–labeled cDNA. cDNA was labeled by reverse transcription from Vibrio cholerae total RNA using ChromaTide Alexa Fluor 546-14-dUTP (C11404). Labeled cDNA was then hybridized to a V. cholerae O1 El Tor microarray. The array was imaged with ScanArray 5000XL scanner (PerkinElmer LAS, Inc.). The image was contributed by Kimberly Chong and Gary Schoolnik, Stanford University.
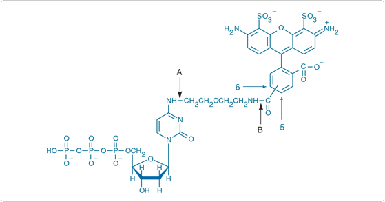
The ChromaTide UTP and dUTP nucleotides are modified at the C-5 position of UTP or dUTP via a unique aminoalkynyl linker (Figure 8.2.2). The C-5 position of UTP and dUTP is not involved in Watson–Crick base-pairing and so interferes little with probe hybridization. The aminoalkynyl linker between the fluorophore and the nucleotide in the ChromaTide UTP and dUTP nucleotides is designed to reduce the fluorophore's interaction with enzymes or target binding sites. In addition to this four-atom bridge, several of these nucleotides contain a seven- to 10-atom spacer that further separates the dye from the base. The number in the product's name (e.g., the "12" in ChromaTide fluorescein-12-dUTP) indicates the net length of the spacer in atoms. Longer spacers typically result in brighter conjugates and increased hapten accessibility for secondary detection reagents.
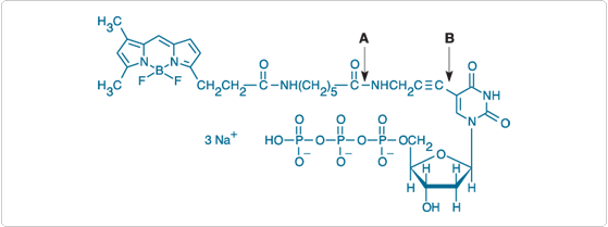
The ChromaTide OBEA-deoxycytidine triphosphates (OBEA-dCTP) are modified at the N-4 position of cytosine using a 2-aminoethoxyethyl (OBEA) linker (Figure 8.2.3). The Alexa Fluor 546 and Alexa Fluor 647 OBEA-dCTP conjugates (C21555, C21559) also have a built-in spacer that reduces possible steric interference caused by the presence of the dye.
The spectral diversity of the ChromaTide UTP, ChromaTide dUTP and ChromaTide OBEA-dCTP nucleotides (Characteristics of Molecular Probes ChromaTide and aha labeled nucleotides—Table 8.5) gives researchers significant flexibility in choosing a label that is compatible with a particular optical detection system or multicolor experiment. Probes made from the fluorescent ChromaTide nucleotides can be imaged directly; alternatively, some fluorophores can be used as a hapten for signal amplification (Anti-Dye and Anti-Hapten Antibodies—Section 7.4). In many cases, the TSA (TSA and Other Peroxidase-Based Signal Amplification Techniques—Section 6.2) or ELF technologies (Phosphatase-Based Signal Amplification Techniques—Section 6.3) can be used individually or together
to significantly amplify the signal of dye-labeled hybridization probes in cells and tissues and on microarrays.
The Alexa Fluor conjugates of UTP, OBEA-dCTP and dUTP provide fluorophore labels with demonstrably superior fluorescence properties, as compared with conventional dyes. The Alexa Fluor 488, Alexa Fluor 568 and Alexa Fluor 594 nucleotides are spectrally similar to fluorescein, Lissamine rhodamine B and Texas Red conjugates, respectively, but the Alexa Fluor conjugates exhibit superior spectral and chemical properties. ChromaTide OBEA-dCTP nucleotides have been prepared from four of our brightest and most photostable dyes—Alexa Fluor 488, Alexa Fluor 546, Alexa Fluor 594 and Alexa Fluor 647 dyes—with spectra virtually identical to those of fluorescein, Cy3, Texas Red and Cy5 dyes, respectively.
The ChromaTide Alexa Fluor dUTP and ChromaTide Alexa Fluor OBEA-dCTP nucleotides are highly water soluble, as are the DNA probes that contain them. Thus, Alexa Fluor dye–labeled DNA probes do not aggregate or precipitate, even in high-salt hybridization solutions. Fluorescence of the Alexa Fluor conjugates is not pH sensitive in the range used for hybridization or microscopy mounting media. Additionally, the enhanced photostability of these conjugates makes them ideal for imaging applications.
The ChromaTide nucleotides can be incorporated into DNA and RNA using conventional enzymatic labeling techniques (Characteristics of Molecular Probes ChromaTide and aha labeled nucleotides—Table 8.5). Protocols for many of these techniques are provided with the ChromaTide nucleotides; please note that not all ChromaTide nucleotides have been tested in all applications . Enzymes that we have used successfully include:
ChromaTide nucleotides have also been used in the TUNEL assay for detecting DNA fragmentation in apoptotic cells
(Assays for Apoptosis—Section 15.5,
). Microinjected fluorescent nucleotides have been utilized to follow the dynamics of chromosome formation and cell proliferation in live cells.![]()
5-Aminohexylacrylamido-dUTP (aha-dUTP) and 5-aminohexylacrylamido-dCTP (aha-dCTP) can be used to produce amine-modified DNA by conventional enzymatic incorporation methods such as reverse transcription, nick translation, random primed labeling or PCR. The amine-modified DNA can then be labeled with any amine-reactive dye or hapten. This two-step technique consistently produces a uniform and high degree of DNA labeling that is difficult to obtain by other methods. The protocol provided with the aha-dUTP and aha-dCTP nucleotides yields a labeling efficiency of ~5–8 dyes per 100 bases, which we have found to be optimal for fluorescence in situ hybridization (FISH), dot blot hybridization and especially microarray applications, in which the consistency of labeling between samples is critical for accurate interpretation of results. The aha-dUTP and aha-dCTP nucleotides are available as 50 µL of a 50 mM solution (A32761, A32769) in 10 mM Tris, 1 mM EDTA, pH 7.5 (TE); aha-CTP is also available as 500 µL of a 2 mM solution (A32768). We provide a wide variety of amine-reactive reagents for labeling amine-modified DNA, including succinimidyl esters of our Alexa Fluor dyes, conventional fluorophores, biotin and dinitrophenyl (DNP) (Fluorophores and Their Amine-Reactive Derivatives—Chapter 1).
The labeled aha-dUTP and aha-dCTP nucleotides can be used to generate labeled nucleic acid hybridization probes for many molecular biology and molecular cytogenetics applications, including two-color microarray assays, northern and Southern blots, colony and plaque hybridizations, DNA sequencing, primer extension, DNA and RNA amplification and bead-based separation techniques. In these applications, the labeled samples can be detected by the intrinsic fluorescence of the labeled probe or with enzyme-conjugated secondary detection reagents in conjunction with fluorescent, chemiluminescent or colorimetric substrates. These nucleotides are modified at the C-5 position of uridine and cytosine, respectively, with a unique hexylacrylamide linker, which serves as a spacer between the nucleotide and the dye or hapten. This spacer reduces interactions between the nucleotide and the dye or hapten, producing brighter conjugates and increased hapten accessibility for secondary detection reagents. The Alexa Fluor 555 aha-dUTP and aha-dCTP nucleotides (A32762, A32770), with excitation/emission maxima of 555/570 nm, and the Alexa Fluor 647 aha-dUTP and aha-dCTP nucleotides (A32763, A32771), with excitation/emission maxima of 650/670 nm, respectively, are compatible with commonly used microarray scanners. These fluorescent nucleotides provide greater signal correlation (R2) values than do the spectrally similar Cy3 and Cy5 dye pair, thereby improving the resolution of two-color microarray gene expression assays.
The exceptionally bright and photostable Alexa Fluor dyes are also essentially insensitive to pH and are highly water soluble.
We also offer biotin aha-dUTP and aha-dCTP (B32766, B32772) and fluorescein aha-dUTP (F32767) nucleotides, which can be used to generate nucleic acid probes that can be detected with streptavidin conjugates (Avidin, Streptavidin, NeutrAvidin and CaptAvidin Biotin-Binding Proteins and Affinity Matrices—Section 7.6, Molecular Probes avidin, streptavidin, NeutrAvidin and CaptAvidin conjugates—Table 7.9) or labeled anti-fluorescein antibodies (Anti-Dye and Anti-Hapten Antibodies—Section 7.4), respectively. Nucleic acid probes labeled with biotin have generally been the most common nonisotopic probes used in hybridization techniques. Biotinylated probes are readily detected with fluorophore or enzyme conjugates of avidins or streptavidins, providing amplification of the signal (Figure 8.2.4). The signal from biotin-labeled hybridization probes can be considerably amplified, while retaining excellent spatial resolution, using tyramide signal amplification technology (TSA and Other Peroxidase-Based Signal Amplification Techniques—Section 6.2, Figure 8.2.5) or Enzyme-Labeled Fluorescence (ELF) technology (Phosphatase-Based Signal Amplification Techniques—Section 6.3,
). In addition, biotinylated nucleic acids can be adsorbed onto streptavidin agarose or CaptAvidin agarose (S951, C21386; Avidin, Streptavidin, NeutrAvidin and CaptAvidin Biotin-Binding Proteins and Affinity Matrices—Section 7.6) or detected with NANOGOLD or Alexa Fluor FluoroNanogold streptavidin
(N24918, A24926, A24927; Avidin, Streptavidin, NeutrAvidin and CaptAvidin Biotin-Binding Proteins and Affinity Matrices—Section 7.6).
Figure 8.2.4 Labeled paint probes hybridized to human metaphase chromosomes. A biotinylated chromosome 5 probe was detected with Alexa Fluor 594 streptavidin (S11227), and a digoxigenin-labeled chromosome 2 probe detected with mouse anti-digoxigenin in combination with Alexa Fluor 488 goat anti–mouse IgG antibody (A11001). Image contributed by Joop Wiegant, Leiden University Medical Center, Leiden, The Netherlands.
Figure 8.2.5 Fluorescence in situ hybridization detected by tyramide signal amplification. Chromosome spreads were prepared from the cultured fibroblast cell line MRC-5 and hybridized with a biotinylated α-satellite probe specific for chromosome 17. The probe was generated by nick translation in the presence of biotinylated dUTP. For detection by TSA, hybridized chromosome spreads were labeled A) using TSA Kit #22 (T20932) with HRP-conjugated streptavidin and Alexa Fluor 488 tyramide or B) using TSA Kit #23 (T20933) with HRP-conjugated streptavidin and Alexa Fluor 546 tyramide. After counterstaining with DAPI (D1306, D3571, D21490), images were obtained using filters appropriate for DAPI, FITC or TRITC.
Aminoallyl dUTP
(5-aminoallyl-2'-deoxyuridine 5'-triphosphate, A21664) can be incorporated into DNA using conventional enzymatic incorporation techniques, as described above for the ChromaTide dUTP nucleotides.
The resulting amine-modified nucleic acid can then be labeled using the amine-reactive dyes
described in Fluorophores and Their Amine-Reactive Derivatives—Chapter 1. Lacking bulky dye groups, the aminoallyl-modified nucleotides can be incorporated to extremely high and consistent levels. Subsequent reaction of the amine-modified nucleic acid with an excess of amine-reactive reagent achieves correspondingly high and consistent labeling efficiency, regardless of the labeling reagent chosen. We typically obtain labeling efficiencies of ~5–8 dyes per 100 bases. This two-step labeling method also eliminates the need to optimize an enzymatic reaction to accommodate different dye-modified nucleotides, which may incorporate at very different rates. This labeling method is ideal for both FISH probes (Figure 8.2.6,
) and microarray-based experiments (
). Aminoallyl dUTP labeling is the basis of both our ARES DNA Labeling Kits and FISH Tag DNA Kits (see below), which provide aminoallyl dUTP, amine-reactive dyes and carefully tested protocols.
Figure 8.2.6 Fluorescence in situ hybridization (FISH) mapping of a BAC clone on human metaphase chromosomes. FISH was performed using a BAC clone labeled using the ARES Alexa Fluor 488 DNA Labeling Kit (A21665). The chromosomes were counterstained with DAPI (D1306, D3571, D21490). Image contributed by Nallasivam Palanisamy, Cancer Genetics Inc.
For labeling amine-modified DNA or RNA probes in microarray-based experiments, we offer three amine-reactive Invitrogen Alexa Fluor dyes conveniently packaged in 10 single-use vials and rigorously tested for the ability to efficiently label amine-modified DNA:
These specially packaged amine-reactive dyes can be used in conjunction with our aminohexylacrylamido-dUTP (aha-dUTP, A32760) or aminoallyl dUTP (A21664) nucleotides or with commercially available aminoallyl nucleotide–based nucleic acid labeling kits. With excitation/emission maxima of 495/519 nm, 555/565 nm and 650/668 nm, respectively, the Alexa Fluor 488, Alexa Fluor 555 and Alexa Fluor 647 succinimidyl esters match the most popular wavelength channels used to scan microarrays. We have found that when single-stranded DNA is labeled with equivalent levels of Alexa Fluor 647 dye or Cy5 dye using aminoallyl dUTP incorporation, the fluorescence emission from the Alexa Fluor 647 dye–labeled DNA is several times more intense that that of Cy 5 dye–labeled DNA; similarly, Alexa Fluor 555 dye–labeled DNA is consistently brighter than spectrally similar Cy3 dye–labeled DNA (Figure 8.2.7). Furthermore, the Alexa Fluor 555/Alexa Fluor 647 dye pair has been shown to display higher signal correlation coefficients than the Cy3/Cy5 dye pair in two-color DNA microarray assays.![]()
ARES DNA Labeling Kits (Molecular Probes nucleic acid labeling kits—Table 8.6) provide a versatile two-step method for labeling DNA with our Invitrogen Alexa Fluor dyes
(Figure 8.2.8). This method achieves uniformity and consistency of labeling that is difficult to obtain with conventional enzymatic incorporation of labeled nucleotides. In the first step, an amine-modified nucleotide, 5-(3-aminoallyl)-dUTP, is enzymatically incorporated into DNA. This step permits relatively uniform labeling of the probe with primary amine groups. The aminoallyl dUTP substrate used in this reaction is taken up efficiently by reverse transcription or nick translation, for which we provide the protocols; other enzymatic methods are also likely to be compatible. In the second step, the amine-modified DNA is chemically labeled using an amine-reactive Alexa Fluor dye. This chemical reaction varies little in its efficiency from dye to dye, so that it is possible to use any combination of the ARES Kits and obtain consistent labeling for every DNA sample. The labeling protocols provided generally result in about one dye per 12–20 bases, which we have determined to be optimal for fluorescence in situ hybridization (FISH) and dot-blot hybridization. Nucleic acids labeled using this method are ideal for FISH (
) or microarray experiments (
).
In addition to 5-(3-aminoallyl)-dUTP, the ARES DNA Labeling Kits provide amine-reactive Alexa Fluor dyes, which exhibit spectral properties that are superior to conventional dyes for labeling nucleic acids (Figure 8.2.9). Each kit contains sufficient reagents for 5–10 labelings of 1–5 µg DNA each, including:
- 5-(3-Aminoallyl)-dUTP
- Amine-reactive fluorescent dye and an appropriate solvent
- Sodium bicarbonate
- Nuclease-free H2O
- Detailed protocols for labeling DNA using reverse transcriptase or nick translation (ARES DNA Labeling Kits)
The 5-(3-aminoallyl)-dUTP (A21664) and amine-reactive dyes are also available as stand-alone reagents. Enzymatic incorporation of 5-(3-aminoallyl)-dUTP permits incorporation of almost any amine-reactive dye in Fluorophores and Their Amine-Reactive Derivatives—Chapter 1 into nucleic acids.![]()
The FISH Tag DNA and FISH Tag RNA Kits (Molecular Probes nucleic acid labeling kits—Table 8.6) employ the same aminoallyl nucleotide labeling method as the ARES DNA labeling Kit but provide a complete workflow solution for fluorescence in situ hybridization (FISH) applications. Each FISH Tag Kit provides all of the reagents needed for enzymatically incorporating the amine-modified nucleotide (aminoallyl dUTP or aminoallyl UTP) into DNA or RNA, followed by fluorescent labeling with an amine-reactive Alexa Fluor dye and purification of the labeled probe using PureLink nucleic acid purification technology.
The Invitrogen FISH Tag DNA Kits are supplied with one of four spectrally distinct Alexa Fluor dyes or with all four of these dyes in the FISH Tag DNA Multicolor Kit:
Each kit provides sufficient reagents for 10 labelings, as well as detailed instructions for synthesizing amine-modified DNA by nick translation of template DNA, labeling with an amine-reactive Alexa Fluor dye and purifying the fluorescent DNA probe. Kit contents include:
- Alexa Fluor amine-reactive dye
- Dimethylsulfoxide (DMSO)
- Dithiothreitol (DTT), glycogen, sodium bicarbonate and nuclease-free water
- DNA nucleotide mix, containing the optimal ratio of aminoallyl dUTP:dTTP
- DNA polymerase 1
- DNase 1
- Nick translation buffer
- Binding, wash and elution buffers
- Spin columns and collection tubes, for purifying both the amine-modified DNA and the fluorescent DNA probe
- SlowFade Gold antifade reagent, for use in the hybridization/imaging protocol
- Detailed protocols (FISH Tag DNA Kits)
The Invitrogen FISH Tag RNA Kits are also supplied with one of four spectrally distinct Alexa Fluor dyes or with all four of these dyes in the FISH Tag RNA Multicolor Kit:
Each kit provides sufficient reagents for 10 labelings, as well as detailed instructions for synthesizing amine-modified RNA by in vitro transcription of template DNA (containing a T3, T7 or SP6 promoter), labeling with an amine-reactive Alexa Fluor dye and purifying the fluorescent RNA probe. Kit contents include:
- Alexa Fluor amine-reactive dye
- Dimethylsulfoxide (DMSO)
- Dithiothreitol (DTT), glycogen, sodium bicarbonate and nuclease-free water
- RNA nucleotide mix, containing the optimal ratio of aminoallyl UTP:UTP
- T7, T3 and SP6 RNA polymerases
- DNase 1
- T3/T7 and SP6 transcription buffers
- RNaseOUT ribonuclease inhibitor
- Binding, wash and elution buffers
- Spin columns and collection tubes, for purifying both the amine-modified RNA and the fluorescent RNA probe
- SlowFade Gold antifade reagent, for use in the hybridization/imaging protocol
- Detailed protocols (FISH Tag RNA Kits)
The Invitrogen ULYSIS Alexa Fluor Nucleic Acid Labeling Kits (Molecular Probes nucleic acid labeling kits—Table 8.6) provide a simple, reliable method for producing fluorescent hybridization probes by combining our Alexa Fluor fluorophores with the versatile, patented Universal Linkage System (ULS) platinum-based chemistry developed by KREATECH Biotechnology BV. The ULS technology is based on the use of a platinum dye reagent that forms a stable adduct with the N-7 position of guanine and, to a lesser extent, adenine bases in DNA, RNA, peptide–nucleic acid conjugates (PNA) and oligonucleotides (Figure 8.2.10). In protein contexts, ULS reagents are reactive with cysteine residues and other thiols.
The labeling reaction takes only 15 minutes, and separation of the labeled nucleic acids from the unreacted ULS reagent can be accomplished through use of a simple spin-column procedure (Figure 8.2.11). DNA longer than ~1000 base pairs requires a 10-minute DNase digestion before labeling, which both optimizes labeling and fragments the probe for efficient hybridization.
In addition to ULYSIS Alexa Fluor Nucleic Acid Labeling Kits, we offer the Invitrogen ULYSIS Oregon Green 488 Nucleic Acid Labeling Kit. Each of these ULYSIS Kits provides sufficient reagents for 20 labelings of 1 µg DNA each, including:
- ULS labeling reagent and appropriate solvent
- Labeling buffer
- Deoxyribonuclease I (DNase I), for digesting DNA longer than 1000 base-pairs prior to labeling
- DNase I storage and reaction buffers
- Control DNA from calf thymus
- Nuclease-free H2O
- Detailed protocols for preparing fluorescent DNA hybridization probes for chromosome in situ hybridization and dot-blot hybridization (ULYSIS Nucleic Acid Labeling Kits)
Probes labeled using the ULYSIS Kits are stable indefinitely and hybridize effectively to target DNA. The ULS method has been used to prepare labeled probes for dot, northern and Southern blot analysis, RNA and DNA in situ hybridization, multicolor fluorescence in situ hybridization (FISH;
,
), comparative genome hybridization (CGH) and microarray analysis (
).
Figure 8.2.10 Schematic diagram of the labeling method provided in our ULYSIS Nucleic Acid Labeling Kits. The ULS reagent in the ULYSIS Nucleic Acid Labeling Kits reacts with the N-7 position of guanine residues to provide a stable coordination complex between the nucleic acid and the fluorophore label.
RNA samples can be labeled by reverse transcription using fluorophore-labeled random oligonucleotides as primers in combination with unlabeled deoxynucleotide triphosphates. Invitrogen Panomer 9 random-sequence oligodeoxynucleotides are covalently labeled on the 5'-terminus with one of four different Alexa Fluor dyes:
The Panomer 9 oligonucleotides are also useful as primers for synthesizing labeled DNA via Klenow DNA polymerase or reverse transcriptase. In these reactions, the primer provides the fluorescent label, whereas unlabeled nucleotides are incorporated by the enzyme. This labeling strategy allows for efficient and unbiased incorporation of nucleotides because the bulky dye molecule does not interfere with nucleotide incorporation. However, because the resulting DNA fragments contain only a single label, the detection sensitivity will typically be lower than that achieved by incorporating fluorophore- or hapten-labeled nucleotides.
The Invitrogen Alexa Fluor Oligonucleotide Amine Labeling Kits (Molecular Probes nucleic acid labeling kits—Table 8.6) provide the reagents required for labeling synthetic oligonucleotides that have amine groups incorporated at their 5'- or 3'-terminus. Following purification by standard chromatographic or electrophoretic procedures, these singly labeled oligonucleotides can serve as hybridization or ligation probes for a variety of applications.![]()
Each Alexa Fluor Oligonucleotide Amine Labeling Kit contains sufficient reagents for three labelings of 50 µg each of an amine-modified oligonucleotide, including:
- Three vials of amine-reactive dye
- Dimethylsulfoxide (DMSO)
- Three vials of labeling buffer
- Labeling protocol (Alexa Fluor Oligonucleotide Amine Labeling Kits)
Amine or thiol groups can be incorporated into a chemically synthesized oligonucleotide. These groups can then be directly conjugated to an amine-reactive (Fluorophores and Their Amine-Reactive Derivatives—Chapter 1) or thiol-reactive (Thiol-Reactive Probes—Chapter 2) fluorophore or hapten. For labeling amine-modified DNA or RNA probes in microarray-based experiments, we offer three amine-reactive Alexa Fluor dyes conveniently packaged in 10 single-use vials and rigorously tested for the ability to efficiently label amine-modified DNA:
For use in fluorescence resonance energy transfer (FRET) applications (Fluorescence Resonance Energy Transfer (FRET)—Note 1.2), amine-modified oligonucleotides can be labeled with our nonfluorescent, amine-reactive QSY 7, QSY 9 and QSY 21 dyes (Long-Wavelength Rhodamines, Texas Red Dyes and QSY Quenchers—Section 1.6). These QSY quencher dyes have absorption in the visible and near-infrared spectrum, making them excellent energy transfer acceptors from a wide variety of dyes that emit in the visible range, including fluoresceins, Oregon Green dyes, rhodamines, Texas Red, Cy3 and several of the Alexa Fluor dyes.
Conjugates of the QSY 35 dye (Reagents for Analysis of Low Molecular Weight Amines—Section 1.8) have somewhat shorter-wavelength absorption and are useful as quenchers of UV light–excited fluorescent dyes. Oligonucleotide conjugates of the nonfluorescent dabcyl succinimidyl ester (D2245) have also been extensively used for FRET-based and quencher-based assays.![]()
A fluorophore or hapten containing an aliphatic amine may be conjugated to the 3'- or 5'-phosphate group of an oligonucleotide by using the zero-length crosslinker EDAC (E2247, Derivatization Reagents for Carboxylic Acids and Carboxamides—Section 3.4) in an N-methylimidazole buffer at pH 9. This reaction results in a phosphoramidite bond that is stable in most molecular biology assays. The method can be used in combination with T4 polynucleotide kinase to fluorescently label oligonucleotides lacking a 5'-phosphate, or to double-label radioactively labeled oligonucleotides. We have found that this reaction is very efficient—labeling over 90% of the oligonucleotides that contain a phosphate group—and much easier than conventional methods for modifying terminal phosphate groups, which typically require multistep synthesis.
For this reaction we recommend cadaverine-conjugated fluorophores (Derivatization Reagents for Carboxylic Acids and Carboxamides—Section 3.4, Molecular Probes hydrazine, hydroxylamine and amine derivatives—Table 3.2).
It has also been reported that DNA can be reacted quantitatively with carbonyl diimidazole and a diamine (such as ethylenediamine) or a carbohydrazide to yield a phosphoramidite that has a free primary amine; the amine can then be modified with amine-reactive reagents
of the type described in Fluorophores and Their Amine-Reactive Derivatives—Chapter 1. Fluorescent or biotinylated amines have been coupled to the 5'-phosphate of tRNA using dithiodipyridine and triphenylphosphine.
Wang and Giese
have reported a general method that employs an imidazole derivative prepared from our BODIPY FL hydrazide (D2371, Reagents for Modifying Aldehydes and Ketones—Section 3.3) to label phosphates, including nucleotides, for capillary electrophoresis applications.
The amine-reactive succinimidyl ester of the SYBR 101 dye (S21500) can be coupled with amine-derivatized oligonucleotides. The conjugates may fluoresce green as the result of intramolecular or intermolecular association of the dye with the nucleic acid backbone; however, changes in intensity and fluorescence polarization may occur during hybridization reactions. Similar amine-reactive versions of the cyanine dyes have been utilized to label peptide–nucleic acid conjugates (PNA) and to detect their hybridization to target nucleic acids in solution.![]()
We are a major manufacturer of several dyes that are used directly or indirectly in nucleic acid sequencing and provide these dyes in reactive forms for preparing conjugates (Amine-reactive dyes for nucleic acid sequencing—Table 8.7). Because the electrophoretic separation step during sequencing is highly sensitive to the chemical structure of the fragments, the use of single-isomer labels is essential. In addition to providing high-purity reactive succinimidyl esters of the common FAM, JOE, TAMRA and ROX dyes, we prepare amine-reactive single isomers of carboxyrhodamine 6G (CR 6G). The 6-isomer of the CR 6G dye has spectroscopic and electrophoretic properties that are superior to the JOE dye often used for automated DNA sequencing. Please contact Custom Services for information about availability of any of our reactive dyes in bulk.
Certain BODIPY dyes (BODIPY Dye Series—Section 1.4) have been shown to be very useful for DNA sequencing,
in part because the dyes have a minimal effect on the mobility of the fragment during electrophoresis and also exhibit well-resolved spectra with narrow bandwidths. BODIPY dyes, which are all high-purity single isomers, exhibit high extinction coefficients, excellent quantum yields and fluorescence emission that is quite photostable and insensitive to pH. BODIPY FL-X, BODIPY TMR-X and BODIPY TR-X succinimidyl esters are reactive versions of the BODIPY fluorophores with emission properties similar to those of fluorescein, tetramethylrhodamine and Texas Red dyes, respectively; BODIPY 630/650-X and BODIPY 650/665-X succinimidyl esters provide long-wavelength amine-reactive fluorophores that match filter sets optimized for the Alexa Fluor 647 and Cy5 dyes. Oligonucleotide conjugates of the BODIPY FL, BODIPY R6G, BODIPY 564/570 and BODIPY FL, BODIPY R6G, BODIPY 564/570 and BODIPY 581/591 dyes have been found to be particularly useful for automated DNA sequencing.![]()
Cells can naturally incorporate the thymidine analog 5-bromo-2'-deoxyuridine (BrdU, B23151; Assays for Cell Enumeration, Cell Proliferation and Cell Cycle—Section 15.4) into their DNA during cell division, making this nucleoside analog an excellent marker of both cell cycle and cell proliferation.
Analysis of incorporated BrdU can be either by detection with an antibody to BrdU-modified DNA or by modification of the fluorescence of a nucleic acid stain. For instance, the fluorescence of TO-PRO-3 and LDS 751 is considerably enhanced by the presence of BrdU in DNA,
whereas that of the Hoechst dyes is specifically quenched.
5-Bromo-2'-deoxyuridine 5'-triphosphate (BrdUTP, B21550; Assays for Cell Enumeration, Cell Proliferation and Cell Cycle—Section 15.4) is commonly used in TUNEL-based methods to detect proliferating or apoptotic cells.
BrdUTP is a substrate for reverse transcriptase
and Klenow polymerase,
and has been used in a sensitive nonisotopic assay for detecting HIV-1–associated reverse transcriptase activity.
Similarly, the corresponding brominated ribonucleotide, 5-Bromouridine 5'-triphosphate (BrUTP, B21551; Assays for Cell Enumeration, Cell Proliferation and Cell Cycle—Section 15.4) is an excellent substrate for RNA polymerase
and has been used to monitor nucleolar transcription in situ.![]()
The Invitrogen Click-iT EdU cell proliferation assay provides a superior alternative to bromodeoxyuridine (BrdU) or 3H-thymidine incorporation methods for measuring new DNA synthesis.
The alkynyl nucleoside analog EdU (5-ethynyl-2'-deoxyuridine; A10044, E10187; Click Chemistry—Section 3.1) is incorporated into DNA during the synthesis phase (S phase) of the cell cycle and is subsequently detected by copper (I)–catalyzed click coupling to an azide-derivatized fluorophore
(Click Chemistry—Section 3.1). The small size of the click-coupled fluorophore compared to that of antibodies required for immunodetection of BrdU enables efficient penetration of complex samples without the need for harsh cell treatment, simplifying the assay considerably.
Similarly, the Invitrogen Click-iT RNA assay employs the alkyne-modified nucleoside EU (5-ethynyl uridine, E10345; Click Chemistry—Section 3.1), which is supplied to cells and incorporated into nascent RNA.
The small size of the alkyne tag enables efficient incorporation by RNA polymerases without any apparent changes to the RNA levels of several housekeeping genes. Detection of incorporated EU is accomplished by copper (I)–catalyzed click coupling to an azide-derivatized fluorophore (Click Chemistry—Section 3.1). The multiplexing capability of the assays makes them ideal for toxicological profiling or interrogation of disease models using high-content imaging platforms.
Abasic sites in DNA can be generated spontaneously or through the action of free radicals, ionizing radiation or mutagens like MMS (methyl methanesulfonate). These apurinic and apyrimidinic sites are very common lesions in DNA and are thought to be important intermediates in mutagenesis. A quick and sensitive microplate assay for abasic sites can be performed using ARP (A10550, Figure 8.2.12), a biotin hydroxylamine that reacts with the exposed aldehyde group at abasic sites. Biotins bound to the abasic sites can be quantitated with our fluorescent– or enzyme-conjugated streptavidin complexes
(Avidin, Streptavidin, NeutrAvidin and CaptAvidin Biotin-Binding Proteins and Affinity Matrices—Section 7.6, Molecular Probes avidin, streptavidin, NeutrAvidin and CaptAvidin conjugates—Table 7.9). ARP is permeant to cell membranes, permitting detection of abasic sites in live cells.
Alexa Fluor hydroxylamine derivative (Reagents for Modifying Aldehydes and Ketones—Section 3.3) may have utility similar to that of ARP but are not membrane permeant.
Figure 8.2.12 Aldehyde-reactive probe (ARP) used to detect DNA damage. The biotin hydroxylamine ARP (A10550) reacts with aldehyde groups formed when reactive oxygen species depurinate DNA. This reaction forms a covalent bond linking the DNA to biotin. The biotin can then be detected using fluorophore- or enzyme-linked streptavidin.
DNA and RNA can be modified by reacting their cytidine residues with sodium bisulfite to form sulfonate intermediates that can then be directly coupled to hydrazides or aliphatic amines.
For example, biotin hydrazides (Biotinylation and Haptenylation Reagents—Section 4.2) have been used in a bisulfite-mediated reaction to couple biotin to cytidine residues in oligonucleotides.
The fluorescent hydrazides, hydroxylamines and aliphatic amines listed in Molecular Probes hydrazine, hydroxylamine and amine derivatives—Table 3.2 might be useful in this reaction. The bisulfite-activated cytidylic acid can also be coupled to aliphatic diamines such as ethylenediamine.
The amine-modified DNA or RNA can then be modified with any of the amine-reactive dyes described in this section or in Fluorophores and Their Amine-Reactive Derivatives—Chapter 1.
A few other specialized methods have been developed for nucleic acid modification. These include:
- Use of a fluorescent iodoacetamide or maleimide, along with T4 polynucleotide kinase and ATP-γ-S (ATP with a sulfur in the terminal phosphate), to introduce a thiophosphate at the 5'-terminus of 5'-dephosphorylated RNA
or DNA
- Introduction of 4-thiouridine at the 3'-terminus of DNA using calf thymus terminal deoxynucleotidyl transferase followed by treatment with ribonuclease and reaction with thiol-reactive probes
- Direct reaction of thiol-reactive reagents with 4-thiouridine residues in nucleic acids
- Selective oxidation of the 3'-terminus of RNA by sodium metaperiodate to a dialdehyde, which can be coupled with a fluorescent or biotin hydrazide or hydroxylamine reagent
- Direct reaction of amine- or thiol-reactive reagents with aminoacyl tRNA or thioacetylated aminoacyl tRNA
- Reaction of the X-base of tRNA with isothiocyanates
or replacement of other uncommon bases in tRNA by fluorophores
- Photolabeling of plasmid DNA with fluorescent 4-azido-2,3,5,6-tetrafluorobenzyl derivatives
- Coupling of labeled diazonium salts to nucleic acids
For Research Use Only. Not for use in diagnostic procedures.











